تعريفة الأجرة للسرفيس والاقالبم بالجيزة بعد زيادة البنزين والسولار

  • رمضان حلمي
  • حق المواطن
  • 10 مارس 2026 - 10:28 صباحًا
  • 0 تعليقات
  • 82 مشاهدة

عقب تحريك أسعار المواد البترولية
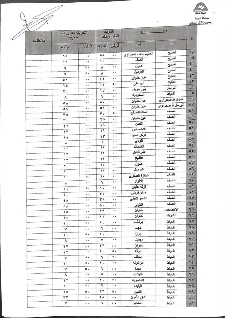
محافظ الجيزة يعتمد التعريفة الجديدة لسيارات السرفيس و النقل الجماعي الداخلية والخارجية
المحافظ : حملات مكثفة للرقابة على المواقف ومحطات الوقود للتأكد من الإلتزام بالتعريفة الجديدة
الأنصاري : غرامات فورية ورادعة للمخالفين ومتابعة ميدانية على مدار الساعة لتلقي الشكاوى

اعتمد الدكتور أحمد الأنصاري محافظ الجيزة التعريفة الجديدة لسيارات السرفيس والنقل الجماعي الداخلية والخارجية والتي يتم تطبيقها اعتبارًا من اليوم الثلاثاء وطبقًا للجداول المرفقة  وذلك في ضوء قرار لجنة التسعير التلقائي للمنتجات البترولية بوزارة البترول بتحريك أسعار المنتجات البترولية.
وأوضح الدكتور أحمد الأنصاري أن اللجنة التي تم تشكيلها لتعديل تعريفة الركوب وضعت في اعتبارها مسافة كل خط سير وعدد الرحلات تحقيقًا للعدالة .
وأشار إلى أنه تم تنسيق تعريفات خطوط السير لسيارات السرفيس الخارجية (الأقاليم) مع المحافظات المجاورة وغيرها من المحافظات التي ترتبط مع محافظة الجيزة بخطوط سير لسيارات الأقاليم لضمان توحيد التعريفة.
وكلف محافظ الجيزة جهاز السرفيس والأحياء والمراكز بطباعة ملصقات وبانرات بالتعريفة الجديدة والإلتزام بنشرها بالمواقف وتعليقها في مكان واضح للمواطنين والسائقين.
مشددًا على ضرورة التأكد من وضع الملصق الخاص بسيارات السرفيس والنقل الجماعي والمتضمن خط السير والأجرة المقررة وفقًا للزيادات الجديدة لعدم قيام قائدى السيارات بزيادة تعريفة الركوب بصورة منفردة أو تقسيم خطوط السير.
ووجه محافظ الجيزة الأجهزة المعنية من جهاز السرفيس وإدارة المرور ورؤساء الأحياء والمراكز ومسؤولي التموين، بالرقابة والمتابعة على مدار الساعة للتأكد من الإلتزام بالتعريفة الجديدة وعدم استغلال المواطنين.
مشددًا على الحسم في تطبيق التسعيرة الجديدة التي تم اعتمادها، وتوقيع غرامات فورية ورادعة وإتخاذ كافة الإجراءات القانونية ضد المخالفين.
وأكد محافظ الجيزة أن غرفة العمليات الرئيسة بالمحافظة منعقدة على مدار الساعة بحضور جميع الجهات المعنية معلنًا أرقام الطوارئ التالية لاستقبال أي بلاغات تخص التسعيرة الجديدة:
على الخطوط التالية 33465048 / 33465046 بالإضافة إلى خدمة الواتساب على الرقم 01016050453 .

img-20260310-wa00397644898461612711479-725x1024 تعريفة الأجرة للسرفيس والاقالبم بالجيزة بعد زيادة البنزين والسولار
img-20260310-wa00386476573348496316693-725x1024 تعريفة الأجرة للسرفيس والاقالبم بالجيزة بعد زيادة البنزين والسولار
img-20260310-wa00377698825461853489029-723x1024 تعريفة الأجرة للسرفيس والاقالبم بالجيزة بعد زيادة البنزين والسولار
img-20260310-wa00325643314396051310309-725x1024 تعريفة الأجرة للسرفيس والاقالبم بالجيزة بعد زيادة البنزين والسولار
img-20260310-wa00315056118716064568112-725x1024 تعريفة الأجرة للسرفيس والاقالبم بالجيزة بعد زيادة البنزين والسولار
img-20260310-wa00284879413348980006253-725x1024 تعريفة الأجرة للسرفيس والاقالبم بالجيزة بعد زيادة البنزين والسولار
img-20260310-wa00297296443911585727812-725x1024 تعريفة الأجرة للسرفيس والاقالبم بالجيزة بعد زيادة البنزين والسولار
img-20260310-wa00336436748826350394493-725x1024 تعريفة الأجرة للسرفيس والاقالبم بالجيزة بعد زيادة البنزين والسولار
img-20260310-wa00272079292244841402837-725x1024 تعريفة الأجرة للسرفيس والاقالبم بالجيزة بعد زيادة البنزين والسولار
img-20260310-wa00309068750789444331374-725x1024 تعريفة الأجرة للسرفيس والاقالبم بالجيزة بعد زيادة البنزين والسولار
img-20260310-wa00355014153417090197276-724x1024 تعريفة الأجرة للسرفيس والاقالبم بالجيزة بعد زيادة البنزين والسولار
img-20260310-wa00368720851917500512720-707x1024 تعريفة الأجرة للسرفيس والاقالبم بالجيزة بعد زيادة البنزين والسولار
img-20260310-wa00346864269535237894464-712x1024 تعريفة الأجرة للسرفيس والاقالبم بالجيزة بعد زيادة البنزين والسولار

Related Posts

وزارة الداخلية تواصل حملاتها المكثفة لضبط الأسواق

وزارة الداخلية تواصل…

Read more

مبادرة مديريه تموين السويس لتوفير السلع الغذائية بأسعار مخفضة للمواطنين.

السويس … محمد…

Read more

أخر الأخبار

بيان صحفي: رفض إساءة العلاقات العامة بمديرية التعليم بالجيزة لصحفي بسبب نقد مهني

بيان صحفي: رفض إساءة العلاقات العامة بمديرية التعليم بالجيزة لصحفي بسبب نقد مهني

لأول مرة.. سارة نخلة تخطو نحو السينما العالمية من بوابة فرنسا وتستعد لتجربة فنية جديدة

لأول مرة.. سارة نخلة تخطو نحو السينما العالمية من بوابة فرنسا وتستعد لتجربة فنية جديدة

إيهاب توفيق يعود بقوة إلى المسرح بجولة صيفية بين لبنان وتونس والساحل الشمالي

إيهاب توفيق يعود بقوة إلى المسرح بجولة صيفية بين لبنان وتونس والساحل الشمالي

بيان صادر عن وزارة الشباب والرياضة:

بيان صادر عن وزارة الشباب والرياضة:

من مصر وصولاً إلى الى دول أوروبية وأميركا.. حفلات هيفاء وهبي تشعل صيف 2026

من مصر وصولاً إلى الى دول أوروبية وأميركا.. حفلات هيفاء وهبي تشعل صيف 2026

ماجد بن حسين القحطاني.. الرحالة الذي يجوب العالم باحثًا عن الجمال

ماجد بن حسين القحطاني.. الرحالة الذي يجوب العالم باحثًا عن الجمال

سفير تركيا بالقاهرة يزور نائب وزير الخارجية في أنقرة لتعزيز التنسيق الدبلوماسي

سفير تركيا بالقاهرة يزور نائب وزير الخارجية في أنقرة لتعزيز التنسيق الدبلوماسي

بوب كاست يفجرها: التسعينات صنعت سوبر ستار الغناء العربي وغيرت شكل الموسيقى

بوب كاست يفجرها: التسعينات صنعت سوبر ستار الغناء العربي وغيرت شكل الموسيقى

انطلاق اجتماع إعمار ليبيا في بنغازي بمشاركة تحالف مصري دولي

انطلاق اجتماع إعمار ليبيا في بنغازي بمشاركة تحالف مصري دولي

فيروز كراوية تطلق الإعلان التشويقي الأول لأغنيتها الجديدة شفتوشي

فيروز كراوية تطلق الإعلان التشويقي الأول لأغنيتها الجديدة شفتوشي

إستمرار الجولات الميدانيه بقيادة دكتور عطية بمجمع السويس الطبى

إستمرار الجولات الميدانيه بقيادة دكتور عطية بمجمع السويس الطبى

الألعاب الشعبية وسؤال الهوية: قراءة فلسفية في إستراتيجيات الوعي الجمعي

الألعاب الشعبية وسؤال الهوية: قراءة فلسفية في إستراتيجيات الوعي الجمعي

بيان صادر عن وزارة التنمية المحلية والبيئة:

بيان صادر عن وزارة التنمية المحلية والبيئة:

قافلة طبية مزدوجة بالسويس بقرية يوسف السباعي بإشراف التضامن الإجتماعي

قافلة طبية مزدوجة بالسويس بقرية يوسف السباعي بإشراف التضامن الإجتماعي

الدكتورة “رود عبدالقادر” تحتفي باليوم العالمي للعلاج الوظيفي في مركز راشد لأصحاب الهمم

الدكتورة “رود عبدالقادر” تحتفي باليوم العالمي للعلاج الوظيفي في مركز راشد لأصحاب الهمم

وزارة الداخلية تواصل حملاتها المكثفة لضبط الأسواق

وزارة الداخلية تواصل حملاتها المكثفة لضبط الأسواق

انطلاق أول أفواج حجاج الجمعيات الأهلية إلى المدينة المنورة 8 مايو الجاري

انطلاق أول أفواج حجاج الجمعيات الأهلية إلى المدينة المنورة 8 مايو الجاري

بيان صادر عن وزارة التعليم العالي والبحث العلمي:

بيان صادر عن وزارة التعليم العالي والبحث العلمي:

بيان صادر عن وزارة التعليم العالي والبحث العلمي:

بيان صادر عن وزارة التعليم العالي والبحث العلمي:

بيان صادر عن الهيئة العامة للرعاية الصحية:

بيان صادر عن الهيئة العامة للرعاية الصحية:

بيان صادر عن وزارة التنمية المحلية والبيئة:

بيان صادر عن وزارة التنمية المحلية والبيئة:

بيان صادر عن الهيئة العامة للرقابة المالية:

بيان صادر عن الهيئة العامة للرقابة المالية:

بيان صادر عن الجهاز القومي لتنظيم الإعلانات على الطرق العامة:

بيان صادر عن الجهاز القومي لتنظيم الإعلانات على الطرق العامة:

بيان صادر عن وزارة الصناعة:

بيان صادر عن وزارة الصناعة:

بيان صادر عن وزارة الصحة والسكان:

بيان صادر عن وزارة الصحة والسكان:

مبادرة مديريه تموين السويس لتوفير السلع الغذائية بأسعار مخفضة للمواطنين.

مبادرة مديريه تموين السويس لتوفير السلع الغذائية بأسعار مخفضة للمواطنين.

السويس تختتم فاعليات القوافل المتنقلة لتنظيم الأسره بقرية شندوره  بحي الجناين.

السويس تختتم فاعليات القوافل المتنقلة لتنظيم الأسره بقرية شندوره  بحي الجناين.

من ورش وزارة العمل إلى الطرق… حكاية جنود يصنعون “عربات المستقبل”…

من ورش وزارة العمل إلى الطرق… حكاية جنود يصنعون “عربات المستقبل”…

تقرير صحفي ..”1.4 مليون فرصة عمل سنويًا حتى 2030″…

تقرير صحفي ..”1.4 مليون فرصة عمل سنويًا حتى 2030″…

أكاديمية الفنون .. من مرافئ الإختلاف إلى شواطئ الإستقرار

أكاديمية الفنون .. من مرافئ الإختلاف إلى شواطئ الإستقرار

ألين أرفليان تعود إلى الشاشة بـ«لعبة العقرب».. تجربة نفسية مشوّقة تجمعها لأول مرة بمازن شاهين على نتفليكس

ألين أرفليان تعود إلى الشاشة بـ«لعبة العقرب».. تجربة نفسية مشوّقة تجمعها لأول مرة بمازن شاهين على نتفليكس

دعاء صلاح تشارك جمهورها بحضورها جلسات إعلامية

دعاء صلاح تشارك جمهورها بحضورها جلسات إعلامية

*تزامناً مع عيد العمال.. صناع الخير تستعرض جهودها في مجال التمكين الاقتصادي*

*تزامناً مع عيد العمال.. صناع الخير تستعرض جهودها في مجال التمكين الاقتصادي*

بلمسات عالمية وحضور استثنائي.. مهرجان “Glory Nights” يختتم فعالياته بنجاح باهر في كانكون – المكسيك

بلمسات عالمية وحضور استثنائي.. مهرجان “Glory Nights” يختتم فعالياته بنجاح باهر في كانكون – المكسيك

عودة قوية لـ نوستالجيا باند بمشاركة شريف منير في حفلات صيف 2026

عودة قوية لـ نوستالجيا باند بمشاركة شريف منير في حفلات صيف 2026

المهندس محمد عز الدين على تصريحات عماد الدين أديب: «مصر ليست دولة تطفئ النور»

المهندس محمد عز الدين على تصريحات عماد الدين أديب: «مصر ليست دولة تطفئ النور»

«سوديك».. 30 عاماً من الريادة في صناعة المجتمعات العمرانية وتعزيز مكانتها في السوق العقاري المصري

«سوديك».. 30 عاماً من الريادة في صناعة المجتمعات العمرانية وتعزيز مكانتها في السوق العقاري المصري

ختام ناجح في القاهرة.. سوزان إسكندر تختتم «أطياف الحرمين» بنجاح لافت وتستعد لجولة عربية جديدة

ختام ناجح في القاهرة.. سوزان إسكندر تختتم «أطياف الحرمين» بنجاح لافت وتستعد لجولة عربية جديدة

المغرب يعزز سيادته المائية بإطلاق منظومة صناعية محلية لتحلية المياه

المغرب يعزز سيادته المائية بإطلاق منظومة صناعية محلية لتحلية المياه

سد النهضة الأثيوبي ونهر النيل في أخر الزمان

سد النهضة الأثيوبي ونهر النيل في أخر الزمان